铛煮山川,粟藏世界,有明月清风知此音。呵呵笑,笑酿成白酒,散尽黄金。
作者:王彬
来源:负险不彬(ID:fuxianbubin)

资产评估属于价值判断的范畴,而价值判断是交易过程中无法回避的根本问题,作为使用专业理论和方法对资产的价值进行定量的估计和判断的方法,在任何经营过程中都无法回避,具体到资产评估的内容上,根据《中华人民共和国资产评估法》第二条规定,“资产评估是指评估机构及其评估专业人员根据委托对不动产、动产、无形资产、企业价值、资产损失或者其他经济权益进行评定、估算,并出具评估报告的专业服务行为。”目前《国际评估准则》(IVS)、美国《专业评估执业统一标准》(USPAP)以及英国皇家特许测量师学会评估准则(RICS红皮书)对资产评估的规定主要都是从资产评估报告的要素和内容进行规范,有鉴于此,对于资产评估的流程、方法和使用详解也是以资产评估报告为蓝本进行分析。
一、资产评估前准备工作
(一)评估资产的界定
资产评估的对象是资产,资产系特定权利主体所拥有和控制的,能够给特定权利主体所带来未来经济利益的经济资源。由此决定了资产具有如下三个特征:一是资产是能够为特定主体带来经济利益的经济资源,而资产的价值取决于其能够带来的未来经济利益的能力;二是资产必须是特定主体所拥有和控制。对于资产的拥有或控制主要体现在对资产产权的界定和保护上,资产的产权是与资产所有权相关的权利束,是基于所有权派生的一系列权利,通常包括对资产的占有权、使用权、收益权和处分权,这种权利束一方面表现为某项资产的完整产权,另一方面又具有可分解性,可以从中分离设定出不同类型的权利,相对于完整产权,被分离设定了部分权利的有限产权的权利人,行使资产权利就会受到分设权利时所承诺义务的限制。因此资产评估中的资产不应以所有权为界定依据,只要企业有控制权且能给企业带来经济利益,均可以纳入评估的资产范围。此外,对资产所有权或控制权的确立使特定主体对资产的相关权利具有了排他性,其他主体要取得相关权利就要付出相应的代价;三是资产的价值应当能够以货币计量,能够给特定主体带来可量化的效用或利益的资产才是资产评估中所涉及的资产。
(二)资产评估要素的确定
一 | 确定评估当事人 |
评估当事人主要包括委托人、产权持有人和委托人以外的其他评估报告使用人。包括: 1、明确委托人即产权持有人基本情况(包括但不限于机构全称、类型、所属行业、注册地址、注册资本、经营范围等) 2、明确评估报告使用人(确定使用人及使用范围、使用方式等) 3、明确委托人和相关当事人之间的关系。如果是第三者对拟评估资产进行评估,一般应事先通知产权持有者,资产管理者和征得资产管理者的同意,这往往是执行评估业务的先决条件 | |
二 | 明确评估目的 |
详细了解委托人具体的评估目的及与评估目的相关的事项。包括: 1、评估目的的依据(尽可能从委托人处取得经济行为文件、合同协议、商业计划书等与评估目的相关的资料) 2、评估目的的相关方(前述相关当事人) | |
三 | 确定评估对象和评估范围 |
1、评估范围的确定应服从于评估范围的选择 2、深入了解评估对象的基本情况。包括但不限于企业所属行业、经营范围、资产和财务概况、企业长期股权投资的数量和分布、评估对象为资产组合和单项资产的,应了解资产的具体类型、分布情况、特征和账面价值等 3、为明确责任纠纷, 应由委托人(或经其授权被评估资产产权持有人或被评估企业)就具体评估对象所对应的评估范围明细进行确认 | |
四 | 确定价值类型 |
一般情况下可以选择的价值类型主要包括市场价值、投资价值、在用价值、清算价值和残余价值,对于价值类型的选择可以参考《资产评估价值类型指导意见》 | |
五 | 确定评估基准日 |
1、评估机构洽谈人员根据专业知识和经验,提示委托人合理选取评估基准日。以确保评估结论能够有效服务于评估目的,确保现场调查、评估资料的收集等工作的开展 2、根据行业管理,对于企业价值的评估,基准日一般选择为会计期末;对于法律法规有专门规定的,从其规定 | |
六 | 明确使用范围 |
使用范围主要包括评估报告使用人、目的及用途、使用时效和报告的摘抄引用和披露等事项 |
(三)调查手段和方法的确定
1、调查的手段
一 | 询问 |
主要是在阅读、分析评估申报资料的基础上,与评估对象的管理、使用、采购、营销等相关人员进行沟通。以了解资产规模、来源、使用现状、未来利用方式等基本情况,或者企业经营状况、历史经营业绩、行业地位、未来发展规划等企业整体相关信息 | |
二 | 访谈 |
针对无法通过书面资料说明或证明的,尤其是涉及多个专业或部门、具有较大不确定性的综合项目或事项,如资产的来源、在建项目的进展、企业财务状况、企业经营计划等。可采取访谈的方式,以便及时获得全面的、综合性的信息,以对评估对象的状况做出合理判断 | |
三 | 核对 |
进行账表核对、账实核实以及将申报内容与相关权证、文件载明的信息进行核对,了解资产的存在及法律权属。如果存在盘盈盘亏等现象,还需要调查原因 | |
四 | 监盘 |
一是对参与企业组织的现金、存货等资产的清查核对工作。二是主要对清查实施方案、人员安排、调查方式(逐项清查或者抽样清查)、清查结果等进行了解。三是判断清查结果能否反映实际状况。 四是根据清査结果对资产数量、质量、金额等做出恰当的判断 | |
五 | 勘察 |
对实物资产的数量、质量、分布、运行和利用情况(经营情况)等所做的调查,对相关技术检测结果的收集、观察,对其运行记录和定期专业检测报告的收集和分析等工作。在评估实务中,对特殊资产实施勘查 |
2、调查方式的选择
一是逐项调查,即对纳入评估范围的所有资产及负债进行逐项核实,并进行相应的勘査和法律权属资料核实。逐项调查主要适用于评估范围内资产数量少、单项资产的价值量大,比如不动产评估项目;或者资产存在管理不善等风险,产权持有人或被评估单位提供的相关资料无法反映资产的实际状况,并且从其他途径也无法获取充分、恰当的评估证据,比如停产多年的企业资产评估项目、企业破产清算项目等。
二是抽样调查,即按一定程序从研究对象的全体(总体)中抽取一部分单位(样本)进行调查或观察获取数据,并以此对总体的一定目标量作出推断。主要是针对无法或不宜对评估范围内所有资产、负债等有关内容进行逐项清查的项目,具体的抽样调查方法较为多元,主要包括简单随机抽样、分层抽样、系统抽样、整群抽样、不等概率抽样、多阶段抽样、重点项目抽样等。其中,适用最多的是重点项目抽样,即对纳入评估范围内的资产及负债,遵循重要性原则,对于价值量大的、关键或重要的资产进行调查。在进行抽样调查时,要考虑到抽样风险,并确保由抽样调査形成的调查结论合理、能够基本反映资产的实际状况,抽样误差要适度。在进行抽样调査时,其样本选择的理由要形成评估底稿。
二、资产评估流程
(一)资产评估目的的确定
资产评估特定目的贯穿了资产评估的全过程,会影响着对评估对象的界定、价值类型的选择、评估方法的选择等多方面内容。是进行资产评估之前必须要明确的重要事项。资产评估的结论必须要以资产评估目的为导向。结合具体的业务安排,目前我致残评估业务涉及的评估目的主要包括但不限于转让定价,抵/质押,公司的设立、改制、增资等,财务报告、税收评估、司法诉讼评估及其他等。
(二)资产评估计划的拟定和调整
资产评估计划为资产评估开展工作思路和实施方案。涵盖评估开展主要过程、时间进度、人员安排等主要内容。
在评估正式开展前,应在了解资产评估业务基本事项的基础上,结合资产评估目的以及相关管理部门对资产评估开展过程中的管理规定;评估业务风险、评估项目的规模和复杂程度;评估对象及其法律、经济、技术、物理等因素;评估项目所涉及资产的结构、类别、数量及分布状况;委托人及相关当事人的配合程度;相关资料收集状况;委托人、评估对象产权持有人(或被评估单位)过去委托资产评估的情况、诚信状况及其提供资料的可靠性、完整性和相关性;资产评估专业人员的专业能力、经验及人员配备情况;与其他中介机构的合作、配合情况等主要因素,编制资产评估计划。
确定具体评估步骤时,应明确如下要素:一是评估项目的背景和相关条件,包括评估目的、评估对象和评估范围、价值类型、评估基准日、评估的重点和难点,参与本项目评估的其他中介机构;二是本次评估所采取的评估方法;三是应明确资产清查工作的重点及具体要求,如现场调查目标、现场调查工作总体时间安排、现场调查的主要内容、现场调查的协调方式等内容;应明确与参与本项目的审计、律师等其他中介机构的对接安排及注意事项等。
在评估工作推进过程中,由于前期资料搜集不齐全、现场调查受到限制或委托人提供资料不真实,工作推进后发现需要进一步补充资料和增加现场工作时间,从而造成未能按计划完成进度。或者在业务推进过程中发现未预料到的资产类型或者业务形态,导致原计划的评估技术思路无法满足需要,又或者由于委托人经济行为涉及的评估对象、评估范围、评估基准日发生变化而导致的评估计划不能如期推进的。应尽快与相关当事人进行沟通,根据已确定的方案进行调整、对部分评估工作作出重新安排、对评估技术方案进行修正。调整计划要兼顾评估效率和工作质量的原则,充分利用已有的工作成果,将评估计划调整导致的成本降低到最低水平。
(三)评估现场调查
现场调查主要是通过走访,以便对影响资产价值的物理、技术、法律、经济等因素进行客观、全面的了解,为判断资产整体状况、估算资产价值提供合理依据。因此,现场调查主要是了解评估对象的现状(核实评估对象的存在性和完整性、了解评估对象的现实状况)、关注评估对象的法律权属。
1、了解评估对象的现状
一方面,要核实评估对象的存在性和完整性。其中,在评估对象的存在性上,主要判断评估对象是否真实存在:实物资产主要是通过实地査看、核查合同、盘点、函证等方式核实其存在性;无形资产上主要是通过核査权属文件、申请登记材料、技术文件、第三方证明文件等核实其存在性;应收账款、股权或其他经济权益主要是通过核查会计记录、公司章程、权益证明、股权转让协议及函证等方式核实其存在性。评估对象的完整性要求上,主要是关注评估对象符合相关经济行为对资产范围的要求,能够有效实现其预定功能。因此既要关注资产物理意义上的完整性,也要关注资产功能上的完整性。另一方面,要了解评估对象的现实状况。对于评估对象现实情况的了解,既要与资产价值的影响因素相关,支持资产价值的评定和估算,也要能够系统、全面、充分的反映资产价值的影响因素的实际情况。不同类型的评估对象其关注重点也各有不同:针对整体企业,主要关注企业的历史沿革、主要股东及其持股比例、主要的产权和经营管理结构;企业的资产、财务、经营管理状况;企业的经营计划、发展规划;影响企业经营的宏观、区域经济因素;企业所在行业现状与发展前景等内容。针对房屋建筑物,主要关注取得方式、建筑物结构、建成时间、地址、用途、建筑面积、长度、宽度、层高、层数等。针对机器设备,主要关注设备名称、生产厂家、规格型号、安装地点、规定使用年限、购置日期、启用日期、已经使用年限、设备使用状况、设备维修情况等。针对存货,通常应了解名称及规格型号、计量单位、存放地点、数量、单价等。针对应收账款等债权债务,则需了解债权债务人名称、业务内容、发生日期、履约及回收情况等。
如果资产由于本身本身的特征、存放地点、法律限制等导致评估专业人员无法采用常规的调查技术手段对资产的数量、品质等进行实地勘查,又或者委托人或者其他相关当事人不提供资产明细资料、产权持有人或者被评估单位不配合进行现场调查工作等导致的现场调查受限时,如果所受限制并未对评估结果的合理性或评估目的所对应的而经济行为构成重大影响,或者能够采取必要措施弥补不能实施调查程序的缺失,则可以持续推进资产评估业务,但需要在工作底稿中予以说明,分析其对评估结论的影响程度,并在资产评估报告中以恰当的方式说明受限情况,所采取的替代程序的合理性以及其对评估结论合理性的影响。如果无法采用替代措施对评估对象进行勘查核实,或即使履行替代程序,也无法消除其对评估结论产生重大影响的事实。则必须终止执行评估业务。
2、多维度了解评估对象信息
公开资料方面,首先应从公开市场上独立获取相应资料,市场信息资料应包括交易所公布的股票交易信息、上市公司公开披露的资料、各类资产交易所公布的交易信息、各类资产市场交易信息等。直接获得的市场信息往往存在信息不完备的特征,即可能未充分反映交易内容和条件,在收集市场信息时,应当尽可能全面,并进行必要的分析调整。
当事人资料方面,要从产权持有人及相关当事人处取得如下材料:一是与资产状况相关的资料,如资产权属证明、反映资产现状的资料等,该部分材料主要通过现场调查程序取得。二是用于对资产价值进行评定估算的资料,如评估对象和评估范围涉及的资产评估明细资料、资产最可能的持续使用方式、企业经营模式、收益预测等。对于上述资料,应要求相关当事人对其提供的评估资料以签字、盖章及法律允许的其他方式等进行确认。
监管及权威证明材料方面,应通过实地走访和调研的方式获取如下材料:一是宏观经济信息、产业统计数据(如库存、生产情况、需求情况)等。查看各级政府部门的资料获取企业相关的信息,如各级工商行政管理部门都保存有注册公司的基本登记信息;二是从证券交易机构可以查询上市公司资料,利用这些信息可了解资产所有者的状况;了解其竞争对手状况及其所处行业的情况;对于未上市公司,可从上市公司中挑选可比对象作为参照物,进行类比分析,了解相关状况;三是从信息服务商或数据提供商中获取上市公司或交易案例的相关信息,以便准确边界的使用收益法和市场法进行分析;四是媒体信息,媒体的信息不仅包含原始信息,并且通常有一些分析信息,有助于评估专业人员加深对所需信息的理解,并能节约分析时间;五是行业协会或管理机构及其出版物,便于抓取有关产业结构与发展情况、市场竞争情况等信息,还能咨询到有关专家的意见;六是学术出版物。
法律权属资料方面,在现场调查时间,应取得评估对象的权属证明,对于取得的权属证明进行核查验证,包括但不限于采用与原件核对,向有关登记管理机构查阅登记记录等方式。针对不同的评估对象,权属证明文件各有不同:如针对不动产、专利权、商标权、著作权、矿业权、车辆等实行产权登记制度的资产,权属证明为相应的产权登记文件,比如房地产权证、房屋所有权证、土地使用权证、专利权证、著作权登记证书、采矿许可证、勘探许可证、车辆行驶证等;针对机器设备和存货等,权属证明主要包括购置合同、购置发票、付款证明、出库入库记录等;针对企业价值评估涉及的股东全部权益和股东部分权益,权属证明主要包括权属证明主要包括公司章程、工商登记材料、股东登记名册、出资证明、出资协议等;涉及国有资产的,还包括国有资产产权登记证。
对于超出资产评估专业人员专业能力范畴的核査验证事项以及法律法规规定、客观条件限制无法实施核查和验证的事项,应当采取以下应对措施:一是对于超出资产评估专业人员专业能力范畴的核查验证事项,委托或要求委托人委托其他专业机构出具意见;二是对于因法律法规规定、客观条件限制无法实施核查和验证的事项,应在工作底稿中予以说明,分析其对评估结果影响程度。如果无法核査验证的资料是评估结论的重要依据,该资料的不确定性将较大程度影响评估结论的合理性,则应在评估结论中予以揭示。
(四)分析资料选用合理方法
首先,由于收集的资料难免存在失真的情况,要对失真的材料进行鉴别和剔除;其次,要对所收集的评估资料信息、数据的合理性、相关性进行分析,以提高评估资料的可靠性。在此基础上,要恰当的选择评估方法(资产评估方法包括收益法、市场法和成本法三种基本方法及其衍生方法,每种基本方法下还有具体的评估方法,在评估过程中应当根据评估目的、评估对象、价值类型、资料收集情况恰当选择评估方法。选择评估方法的过程中应当注意如下重要事项:一是评估方法的选择要与评估目的、评估时的市场条件,被评估对象的具体情况,以及由此所决定的资产评估价值类型相适应;二是评估方法的选择受到各种评估方法运用所需要的数据资料以及主要经济技术参数能够收集的制约,每种评估方法的运用所涉及的经济技术参数的选择,都需要有充分的数据资料作为基础和依据。在评估试点以及一个相对较短的时间内,某种评估方法所需的数据资料的收集可能会遇到困难,当然也就会限制该评估方法的选择和运用,在这种情况下,资产评估应考虑替代原理,选择信息资料充分的评估方法进行评估。三是资产评估过程中所选择和运用的某一方法,应当充分考虑该种方法在具体评估项目中的适用性、效率性和安全性,并注意满足该种评估方法的条件要求和程序要求;四是在一些情况下,可以采取排除、否定其他评估方法的做法,作为决定采取某一种评估方法的理由。首先需简单说明总体思路及主要评估方法和适用原因;其次要按照评估对象和所涉及的资产(负债)类型逐项说明所选用的具体评估方法,采用成本法的,应介绍估算公式,并对所涉及资产的重置价值及成新率的确定方法做出说明;采用市场法的,应介绍参照物(交易案例)的选择原则、比较分析和调整因素等;采用收益法的,应介绍采用收益法的技术思路,主要测算方法、模型或计算公司,吗,明确预测收益的类型,以及预测方法与过程,折现率的选择和确定等情况。采用多种评估方法时,不仅要确保满足各种方法使用的条件要求和程序要求,还应当对各种评估方法取得的价值结论进行比较,分析可能存在的问题并做出相应的调整,确定最终评估结果的准确性。
(五)评估技术说明
评估技术说明应考虑不同经济行为和不同评估方法的特点介绍评定估算的思路及过程。
采用成本法评估单项资产或资产组合,采用资产基础法评估企业价值,应当根据评估项目的具体情况以及资产负债类型编写评估技术说明。各项资产负债评估技术说明应当包含资产负债的内容和金额、核实方法、评估值确定的方法和结果等基本内容。
采用收益法或市场法评估企业价值,评估技术说明通常包括影响企业经营的宏观、区域经济因素;所在行业现状和发展前景;企业的业务情况;企业的资产、财务分析和调整情况;评估方法运用过程。
采用收益法进行企业价值评估,应当根据行业特点,企业经营方式和所确定的预期收益口径以及评估的其他具体情况等编写评估技术说明。企业的资产、财务分析和调整情况以及评估方法运用四是过程说明通常包括如下内容:一是收益法的应用前提及选择理由和依据;二是收益预测的假设条件;三是企业经营、资产和财务分析;四是收益模型选择理由及基本参数说明;五是收益期限及明确预测期的说明;六是收益预测的说明;七是折现率的确定说明;八是预测期后价值确定说明;九是其他资产和负债评估说明;十是评估价值。
采用市场法进行企业价值的评估,应当根据行业特点,被评估企业实际情况以及上市公司比较法或交易案例比较法的特点编写评估技术说明。企业的资产、财务分析和调整情况以及评估方法运用四是过程说明通常包括如下内容:一是具体方法、应用前提及选择理由;二是企业经营、资产和财务分析;三是分析选取确定可比企业或交易案例的说明;四是价值比率的而选择及因素修正说明;五是评估对象价值比率的测算说明;五是评估价值。
(六)出具评估报告或形成评估结论
出具评估报告或评估结论应注意审慎性和合理性,具体而言,只有确保评估程序履行情况;评估资料完整性、客观性、适时性;评估方法、评估技术思路合理性;评估目的、价值类型、评估假设、评估参数以及评估结论在性质和逻辑上一致性;对计算公式及计算过程正确性;对技术参数选取合理性;计算表格之间链接关系正确性;采用多种方法进行评估时,需审查对各种评估方法所依据的假设、前提、数据、参数可比性;最终评估结论合理性;评估报告合规性的前提下,评估报告或评估结论才有科学性。
根据《资产评估执业准则——资产评估报告》中相关规定,资产评估应以文字或数字的形式表述评估结论,并明确评估结论的使用有效期。评估结论通常是确定的数值,也可以是区间值或其他形式的专业意见。
(七)评估结论的外部审核
企业国有资产管理部门、金融企业国有资产管理部门和文化企业国有资产管理部门等管理的国有资产评估项目,要在形成评估报告或评估结论后,按照国家有关规定组织专家对其进行外部审核。根据现行的国有资产评估管理规定,对国有资产评估项目实行“核准备案”的管理制度,国有资产评估项目的核准备案通常实行专家评审制度,由国有资产管理部门组织专家对资产评估报告进行评审。审核主要包括以下内容:一是资产评估所涉及的经济行为批准情况;二是评估基准日的选择是否适当,评估基准日的选择是否符合有关评估准则的规定要求;三是资产评估范围与经济行为批准文件确定的资产范围是否一致;四是评估方法运用的合理性和评估依据的适当性;五是企业是否就所提供的资产权属证明文件、财务会计资料及生产经营管理资料的真实性、合法性和完整性做出承诺;六是评估程序是否符合相关评估准则的规定;七是评估结论或评估报告是否符合相关准则的规定和要求。评估资产需要对外部审核意见进行分析,形成意见回复,并根据需要对评估结论或评估报告的相关内容进行补充或修改。
三、资产评估基本法——市场法
市场法,是指利用市场上同样或类似资产的近期交易价格,经过直接比较或类比分析以估算资产价值的各种评估技术方法。市场法是根据替代原理,采用比较或类比的思路及方法估测资产价值的评估技术方法。采用市场法应有活跃的公开市场,并且市场上有可比的资产及其交易活动。其中,可比主要体现在功能、市场条件和成交时间三个方面,其中,功能上的可行要体现在用途、性能的相同和近似上,市场条件的可比主要体现在市场供求关系、竞争状况和交易条件的相似上,成交时间的可比主要体现在与评估基准日相近,或时间对资产价值的影响可调整。

(一)市场法的执行步骤与可比因素
1、市场法适用的执行步骤
一是选择参照物。参照物的选择要存在可比性,包括功能、市场条件和成交条件等。另外,与被评估资产相同或相类似的参照物越多,越能充分体现和反映资产市场价值,但考虑到参照物的成交价不仅仅是自身功能的市场表现,还会受到买卖双方交易地位、交易动机、交易时限等方面的影响。为避免某个参照物个别交易中的特殊因素和偶然因素对成交价及评估值的影响,运用市场法进行估值时参照案例数目要保证在3个以上,以尽可能地反映真实成交价。
二是要在被评估资产与参照物之间选择比较因素。将具有可比性的交易实例作为与被评估资产对比分析、评估量化的比较参照物。从理论上讲,影响资产价值的基本因素大致相同,如资产性质、功能、规模和市场条件等,但具体到每一种资产时,影响资产价值的因素又各有侧重。如影响房地产价值的是地理位置、环境状况等因素;技术水平则在机器设备评估中起主导作用;收入状况、盈利水平、企业规模等因素在企业价值评估中相对更突出。所以运用市场法时应根据不同种类资产价值形成的特点和影响价值的主要因素,选择对资产价值形成影响较大的因素作为对比指标,形成综合反映参照物要被评估资产价值之间对照关系的比照参数体系,从多方面形成对比,使影响价值的主要因素得以全面反映。
三是要明确指标对比和量化的差异。在参照物及被评估资产之间进行参数指标的比较,并将两者的差异进行量化。对比主要体现在交易价格的真实性、正常交易情形、参照物与被评估资产可替代性的差异等方面。
四是分析确定已经量化的对比指标之间的差异。市场法以参照物的成交价格作为评定、估算被评估资产价值的基础,对所选定的对比参数体系中的各差异因素进行比较分析,通过多形式的量化途径,形成对价值的调整结果。在实际操作中,需将已经量化的参照物与被评估资产之间的对比指标差异进行调增或调减,就得到以每个参照物价格为基础的被评估资产的初步评估结果。
五是综合分析确定评估结果。如果选择多个参照物,将会形成多个初步评估结果。最终的评估值的形成,主要取决于对参照物的把握和对被评估资产的认识,如果参照物与被评估资产可比性都很好,评估过程中没有明显的遗漏或疏忽,可以采用算术平均法或加权平均法等方法将初步结果转换为最终评估结果。
2、市场法可比因素的设置
运用市场法评估单项资产应考虑的可比因素主要包括资产的功能(资产的功能结合社会需求,从资产实际发挥效用的角度来考虑,亦即在社会需要的前提下,资产的功能越好其价值越高,反之亦然;正常情况下,市场化可比因素的设置,一般包括资产的实体特征和质量(具体包括但不限于资产的外观、结构、役龄和规格型号等);市场条件(主要关注参照物成交时与评估时的市场条件及供求关系的变化情形。市场条件包含宏观的经济政策、金融政策、行业经济状况、产品的竞争情况和供求状况等);交易条件(主要关注交易批量、交易动机、交易时间、交易批量等),上述因素不同,则交易对象的价格就可能会不同。
运用市场法评估一家企业的价值时,应同时考虑行业标准、财务标准和其他重要交易条款等,其中,行业标准的比照是因为同意行业的企业具有一定的可比性,确认被评估企业所属行业时,可参考国民经济行业分类、证监会的上市公司行业分类、国际通用的标准行业代码等。在依照行业标准时,应尽量选取与被评估企业在主营业务收入结构、利润结构、经营模式等方面相似的参照物。在财务标准的选择上,需要通过必要的分析从业务类型及构成、市场、管理等方面进行比较,以此体现被评估企业和可比案例之间的风险和成长差异。在其他重要交易条款的设定上,应考虑股权评估交易的背景、交易日期、交易价格、收购股权的比重、影响交易价格的其他重要交易条款等。
(二)市场法常用的具体评估方法
市场法主要分为直接比较法和间接比较法:


其中间接比较法则是利用资产的国家标准、行业标准或市场标准(标准可以是综合标准,也可以是分项标准)作为基准。分别将被评估资产和参照物整体或分项对比打分从而得到被评估资产和参照物各自的分值。再利用参照物的市场交易价格以及被评估资产的分值与参照物的分值的比值(系数)求得被评估资产价值的一类评估方法。该方法只要求参照物与被评估资产在大的方面基本相同或相似,通过被评估资产和参照物与国家、行业和市场的对比分析,掌握参照物与被评估资产之间的差异,在参照物成交价格的基础上调整估算被评估资产的价值。考虑到间接比较法需要利用国家、行业或市场标准,应用起来存在较多局限,在资产评估实践中应用并不广泛。直接比较法是指利用参照物的交易价格,以被评估资产的某一或若干特征与参照物的同一及若干特征直接进行比较,得到两者的特征修正系数或特征差额,在参照物交易价格的基础上进行修正从而得到被评估资产价值的方法,如果只有一个可比因素不一致,则其基本计算公式为:

如果是有多个可比因素不一致,则其基本计算公式为:
被评估资产价值=参照物交易价格*修正系数1*修正系数2……*修正系数n
被评估资产价值=参照物交易价格±特征差额1±特征差额2……±特征差额n
当参照物与被评估资产的差异仅仅体现在某一基本特征上的时候,直接比较法会演变成为先行市价法、市价折扣法、功能价值类比法、价格指数法、成新率价格调整法、市场售价类比法、价值比率法等。
1、现行市价法
当被评估资产本身具有现行市场价格或与被评估资产基本相同的参照物具有现行市场价格的时候,可以直接利用被评估资产或参照物在评估基准日的现行市场价格作为被评估资产的评估价值。现行市价法是以成交价格为标准的,有的资产在市场交易过程中,报价或目录价与实际成交价之间会因交易对象、交易批量等原因存在差异,在运用现行市价法时要注意被评估资产或参照物在评估基准日的现行市场价格要与被评估资产的价值内涵相同。
2、市价折扣法
以参照物成交价格为基础,考虑到被评估资产在销售条件、销售时限或销售数量等方面的差异,按照专业标准或有关部门的规定,设定一个价格折扣率来估算被评估资产价值的方法。其计算公式为:
资产评估价值=参照物成交价格*(1-价格折扣率)
这一公式假设被评估对象享受的价格折扣比参照物大,而实际评估工作中并不一定如此。
此方法一般只适用于被评估资产与参照物之间仅存在交易条件方面差异的情形。评估某拟快速变现资产,在评估基准日与其完全相同的参照物正常变现价为10万元,经资产评估综合分析,认为快速变现的折扣率应为50%。因此,确定该拟快速变现资产的评估价值=10×(1-50%)=5万元
3、功能价值类比法
功能价值类比法是以参照物的成交价格为基础,考虑参照物与被评估资产之间的功能差异进行调整来估算被评估资产价值的方法,根据资产的功能与其价值之间的关系可分为线性关系和指数关系两种类型。

当资产价值与其功能呈线性关系时,通常被称作生产能力比例法,其计算公式为:
资产评估价值=参照物成交价格*(评估对象生产能力/参照物生产能力)
如被评估资产年生产能力为90吨,参照资产的年生产能力为120吨,评估基准日参照资产的市场价格为10万元,由此确定被评估资产的评估价值=10×90÷120=7.5万元
当资产价值与其功能呈指数关系时,通常被称作规模经济效益指数法,其计算公式为:
资产评估价值=参照物成交价格*(评估对象生产能力/参照物生产能力)X
其中X为功能价值指数。
如被评估资产年生产能力为90吨,参照资产的年生产能力为120吨,评估基准日参照资产的市场价格为10万元,该类资产的功能价值指数为0.7,由此确定被评估资产的评估价值=10×(90÷120)0.7=8.18(万元)
4、价格指数法
价格指数法又称物价指数法,是基于参照物的成交时间与被评估资产的评估基准日之间的时间间隔引起的价格变动对资产价值的影响,以参照物成交价格为基础,利用物价变动指数(价格指数)调整参照物成交价从而得到被评估资产价值的方法。其计算公式为:
资产评估价值 = 参照物成交价格*(1+价格变动指数)
如:与被评估资产完全相同的参照资产6个月前的正常成交价格为10万元,半年期间该资产的价格上升了5%,则被评估中资产的评估价值=10*(1+5%)=10.5万元。
结合市场参数的不同,基本式“资产评估价值 = 参照物成交价格*(1+价格变动指数)”可以演变为两种方式:
一种变形是:资产评估价值=参照物资产交易价格*(1+评估基准日同类资产定基价格变动指数)/(1+参照物交易日同类资产定基价格变动指数)
在具体运用上,如被评估房地产于2020年6月30日进行评估,该类房地产2016年上半年各月月末的价格同2019年年底相比,分别上涨了2.5%、5.7%、6.8%、7.3%、9.6%和10.5%。其中参照房地产在2020年3月底的正常成交价格为3800元/平方米,则被评估房产于2020年6月30日的价值 = 3800×(1+10.5%)/(1+6.8%)=3932元/平方米。
另一种变形是:资产评估价值 = 参照物资产交易价格 * 参照物交易期日至评估基准日各期(1+环比价格变动指数)的乘积。
在具体运用上,已知某参照物资产在2020年1月初的正常交易价格为300万元,该种资产已不再生产,但该类资产的价格变化情形如下:2020年1~5月的环比价格指数分别为103.6%、98.3%、103.5%和104.7%。被评估资产于2020年5月初的评估价值 = 300×103.6%×98.3%×103.5%×104.7%=331.1万元。
根据基期的不同可区分为定基价格指数和环比价格指数。
(1)定基指数及其运用
定基指数是基期固定的增长率,因此:
定基价格变动指数=(当年实际物价—基年物价)/基年物价
定基价格指数=当年实际物价/基年物价
定基价格指数=1+定基价格变动指数
如果能够获得参照物和被评估资产的定基价格指数或定基价格变动指数,价格指数法的数学式可以概括为:
资产评估价值=参照物资产交易价格*评估基准日资产定基价格指数/参照物交易日资产定基价格指数
(2)环比指数及其运用
环比指数是基期不固定的(仅同上期比)的增长率,所以:
环比价格指数(%)=当年定基价格指数/上年定基价格指数
环比价格变动指数

如果能够获得参照物和被评估资产的环比价格指数或环比价格变动指数,价格指数法的数学表达式为:
资产评估价值=参照物资产交易价格*参照物交易日至评估基准日各期环比价格指数乘积
整体而言,价格指数法一般运用于被评估资产与参照物之间仅有时间因素存在差异的情形,且时间差异不能过长。
5、成新率价格调整法
成新率价格调整法是以参照物的成交价格为基础,考虑参照物与被评估资产新旧程度上的差异,通过成新率调整估算出被评估资产的价值,其计算公式为:
资产评估价值= 参照物成交价格*被评估资产成新率/参照物成新率
资产成新率= 资产的尚可使用年限/(资产的已使用年限+资产的尚可使用年限)*100%
成新率价格调整法只运用于被评估资产与参照物之间仅有成新程度差异的情形。
6、市场售价类比法
市场售价类比法是以参照物的成交价格为基础,考虑参照物与被评估资产在功能、市场条件和销售时间等方面的差异,通过对比分析和量化差异,调整估算出被评估资产价值的一种方法。其计算公式为:
资产评估价值 = 参照物售价 + 功能差异值 + 时间差异值 + …… + 交易情况差异值
资产评估价值=参照物售价 * 功能差异修正系数 * 时间差异修正系数
7、价值比率法
价值比率法是利用参照物的市场交易价格,与其某一经济参数或经济指标相比较形成的价值比率作为乘数或倍数,乘以被评估资产的同一经济参数或经济指标,从而得到被评估资产价值的一种具体评估方法。价值比率法中的价值比率种类众多,包括了盈利类指标的价值比率,如息税前收益价值比率,税后现金流量价值比率和每股收益价值比率(市盈率)等;收入类指标的价值比率,如销售收入价值比率(市销率);资产类指标的价值比率,如净资产价值比率、总资产价值比率等。其他类指标的价值比率,如成本市价比率等。
价值比率法通常被用作评估企业价值,由于企业存在规模、营利能力等方面的差异,因此为增强可比性,需要采取某种可比的价值联系,将待估企业与可比企业的价值联系起来。这种联系通常可以用价值比率来反映,对其进行调整,得到待估企业的价值比率。根据选取的可比参照物不同,分为“上市公司比较法”和“交易案例比较法”。上市公司比较法是获取并分析可比上市公司的经营和财务数据,计算适当的价值比例,在与被评估企业比较分析的基础上,确定待估企业价值的具体方法。上市公司比较法中可比企业应当是公开市场上正常交易的上市公司,交易案例比较法是指获取并分析可比企业的买卖、收购及合并案例资料,计算适当的价值比率,在于待估企业比较分析的基础上,确定待估企业价值的具体方法,运用交易案例比较法时,应当考虑待估企业与交易案例的差异因素对价值的影响。价值比率法应关注如下重点:
一是可比参照物相关数据信息来源及可靠性。因为市场法评估最主要的就是依赖可比参照物的数据来确定待估企业的价值。因此,前者的数据是否真实可靠就显得尤为重要,这不仅需要保证数据的真实性,同时也要保证所获得的数据的途径是合法的、有效的。
二是确定可比参照物的可比标准。需要考虑企业生产的产品或提供的服务是否相同或相似,或者企业的产品或服务是否都受到相同经济因素的影响;考虑待估企业与可比企业的规模和获利能力是否相似,考虑到企业规模和生产能力之间并非呈现完美的线性关系,通常存在规模效应,所以如果企业规模差异较大,其获利能力可能失去可比性,因此,应当选取规模较为相似的企业进行比较;考察未来成长性是否相同或相似。企业当前的价值来自于其未来的获利能力,成长性差异较大的公司,通常所处的生命周期不同,对于当前时点的可比性就存在较大差异。因而在评估过程中应将这一要素考虑在内。
三是可比参照物数量的把握,上市公司要设置较为严苛的可比标准,选择最为可比的企业或企业组合,如果选用交易案例,则尽可能选择多个可比案例。
四是价值比率的选取。由于价值比率在可比企业与待估企业的价值之间建立了一座桥梁,而这座桥梁,而这座桥梁是否能够更好的反映价值就成为选取价值比率的关键。所以,亏损企业一般不采用与净利润相关的价值乘数;可比参照物与待估企业的资本结构存在较大差异,则不宜选择部分投资口径的价值乘数;轻资产企业不宜选择与资产规模相关的价值乘数,而应该更多的考虑与收益相关的指标;对于成本和利润比较稳定的企业,可以采用收益口径的价值乘数进行评估;可比参照物与待估企业的税收政策不一致,偏向于采用与扣税前收益相关的指标,从而避免由于税收不一致而导致的价值差异性。
尽管价值比例有很多种,但在评估实务中,最常用的有市销率、市净率和市盈率等。目前常采用的价值比率类型通常都是如下设置:
比率 = 分子/分母,其中:
分子代表价值(即权益价值、企业价值),分母则代表了与价值相关的参数(如净利、收入等)。价值比率主要有盈利比率,资产比率,收入比率和其他特定比率,价值比率的实质就是单位价值的概念。具体而言:
盈利价值比率 = 企业整体价值或股权价值/盈利类参数
收入价值比率 = 企业整体价值/销售收入
资产价值比率 = 企业整体价值或股权价值/资产类参数
其他特殊价值比率 = 企业整体价值或股权价值/特殊类参数

价值比率法通常被用作评估企业价值,实务中最常用的有成本市价法、市盈率倍数法、市销率法,市净率法等。其中,
成本市价法是以被评估资产的现行合理成本为基础,利用参照物的成本市价比率来估算被评估资产价值的方法。其计算公式为:
资产评估价值 = 被评估资产现行合理成本 * 参照物成交价格/参照物现行合理成本
如评估基准日某设备的成本市价率为150%,已知被股全新设备的现行合理成本为20万元,则其评估价值为20*150%=30万元。
市盈率倍数法,主要适用于企业价值的评估,市盈率倍数法是以参照物(企业)的市盈率作为乘数(倍数),其中市盈率=股票价格/每股收益,以市盈率与被评估企业相同口径的收益额相乘估算被评估企业价值的方法。

如某被评估企业的年净利润为1000万元,评估基准日资本市场上同类去也平均市盈率为20倍,则该企业的评估价值就是1000 * 20 = 20000万元。
当参照物与被评估资产的差异不仅仅体现在某一特征上的时候,上述评估方法,如现行市价法、市价折扣法、功能价值类比法、价格指数法和成新率价格调整法等的运用就可以演变成参照物与被评估资产各个功能修正系数的计算了,如交易情形修正系数(正常交易情形/参照物交易情形),功能价值修正系数(被评估资产生产能力/参照物生产能力)、交易时间修正系数(被评估资产的定基价格指数/参照物的定基价格之歌)和成新程度修正系数(被评估资产成新率/参照物成新率)等。
如某面积为1000平方米商业用房,因联营需进行评估,评估基准日为2016年10月31日。房地产交易市场上找到三个成交时间与评估基准日接近的商用房交易案例,具体情况如下表所示。单位:元/m2

被评估对象与参照物结构相似、新旧程度相近,故无需对功能因素和成新率因素调整。被评估对象所在区域的综合评分为100,三个参照物所在区域条件均比被评估对象区域好,综合评分分别为107、110和108。当时房产价格月上涨率为4%,故参照物A的时间因素调整系数为:117/100;参照物B的时间因素调整系数:104/100;参照物C因在评估基准日当月交易,故无需调整。三个参照物成交价格的调整过程如下:

被评估资产单价=(125,747+105,418+107,331)÷3=112,832元
被评估资产总价= 112,832 ×1000=112,832,000元
直接比较法具有适用性强,应用广泛的特点,虽然比较直观,简单明了,但这一方法强调参照对象与被评估资产之间的可比性,影响被评估资产价值的因素较多,如可能同时有时间因素、价格因素、功能因素、交易条件等因素存在。另外,该法对信息资料的数量和质量要求较高,并需要相当程度的专业判断。因为,直接比较法可能要对参照物与被评估资产的若干可比因素进行对比分析和差异调整。没有足够的数据资料以及对资产功能、市场行情的充分了解和把握,很难准确的评定估算出被评估资产的价值。
在上述各种具体的评估方法中,许多具体评估方法既适用于直接评估单项资产的价值,也适用于在市场法中持股车评估标的与参照物之间某一种差异的调整系数或调整值。在市场经济条件下,单项资产和整体资产都可以作为交易对象进入市场流通,不论是单项资产还是整体资产的交易实例都可以为运用市场法进行资产评估提供可参照的评估依据。
(三)市场法的适用范围和局限
市场法通常被用于评估具有活跃公开市场且具有可比成交案例的资产。比如二手机器设备和房地产以及部分软件著作权等,通常二手设备市场可以成为机器设备评估的重要参照物选取市场;房地产评估则更多的选取其所在区域范围的类似资产。市场法被用于评估整体资产价值时,通常是用来评估企业价值。其中,最常用的是价值比率法,以参照企业的价值比率作为调整手段,以此比率与待估企业的相关的财务指标(如利润、息税前利润、销售收入)相乘估算待估企业价值。除了上述所经常使用的市盈率外,用来评估企业价值的乘数还有很多种类。在实务中,通常需要根据被评估企业自身和所在行业特征综合判断采用一种或几种价值比率进行评估。
市场法作为目前资产评估的重要方法之一,有其重要的意义和优势,它是相对来说具有客观性的方法,也比较容易被交易双方所理解和接受。因而如果不存在资产的成本和效用以及市场对其价值的认知严重偏离的情形下,市场法通常是资产评估三种方法中较为有效哦、可理解和客观的方法。在经济较为发达,市场认知较为稳定的国家,市场法是运用较为广泛的方法。它不仅被用于包括设备和房地产在内的单项资产评估,还被用于企业整体资产评估之中。
但是此方法强调参照对象与被评估资产之间的可比性,影响被评估资产价值的因素较多,如可能同时有时间因素、价格因素、功能因素、交易条件因素的存在。而且该方法的使用,对信息资料的数量和质量要求较高,而且要求评估专业素养有一定的要求。
四、资产评估基本法——收益法
收益法是指通过估测被评估资产未来预期收益的现值,来估算资产价值的各种评估技术方法的总称,该方法采用资本或折现的途径及其方法来判断和估算资产价值。该评估思路是任何一个理智的投资者在购置或投资某一项资产时,所愿意支付或投资的货币数额不会高于所购置或投资的资产在未来能给其带来的回报。收益法利用投资回报和收益折现等技术,把评估对象的预期获利能力和获利风险作为两个相辅相成的关键指标来估测评估对象的价值,该方法用数学式可以表示为:

式中:P表示评估价值;Ri表示未来第i年的预期效益;r表示折现率;n表示收益年限;i表示年序号。上式用图示表示为:

(一)收益法的适用范围
因为收益法是依据资产未来预期收益经折现或本金华处理来估测资产价值的,因此其使用会涉及到三个基本要素,分别为被评估资产的预期收益、折现率或资本化率、被评估资产取得预期收益的持续时间。因此,应用收益法必须具备的三个前提条件,即未来预期收益可以被预测并可以用货币来衡量;获得预期收益所承担的风险可以被预测并可以用货币来衡量;预期获利年限可以被预测。
上述条件表明,首先,评估对象的预期收益必须能被较为合理的估测,因此被评估资产与其经营收益之间应存在着较为明确的比例关系,同时,影响资产预期收益的主要因素,包括主观因素和客观因素也应比较明确,评估时可以据此分析和测算被评估资产的预期收益。其次,被评估资产所具有的行业风险,地区风险以及企业风险是可以比较和测算的,这是测算折现率或资本化率的基本参数之一。评估对象所处的行业不同,地区不同和企业差别就会不同程度的体现在资产拥有者的获利风险上。对于投资者来说,风险大的投资,要求的回报率就高,投资风险小,其回报率也可以相应降低。最后,评估对象获利期限的长短,也即评估对象的寿命,也是影响其价值和评估值的重要因素之一。
(二)收益法的基本步骤和基本参数
1、收益法的基本步骤
从收益法的概念可以发现,资产未来的预期收益和风险的量化是收益法应用的主要工作,因此,收益法的工作环节应做如下安排:一是搜集或验证与评估对象未来预期收益有关的数据资料,包括但不限于资产配置、生产能力、资金条件、经营前景、产品结构、销售状况、历史和未来的财务状况、市场形势和产品竞争、行业水平、所在地区收益状况及经营风险等;二是分析测算被评估资产的未来预期收益;三是分析测算折现率或资本化率;四是分析测算被评估资产预期收益持续的时间;五是用折现率或资本化率将评估对象的未来预期收益折算成现值;六是分析确定评估结果。
2、收益法的主要参数
运用收益法进行评估涉及许多经济技术参数,最为核心的包括收益额、折现率和收益期限三项。
一是收益额。资产评估中,资产的收益额是指根据投资回报的原理,资产在正常情形下所能得到的归其产权主体的所得额。收益额是资产未来预期收益额,而不是资产的历史收益额或现实收益额;用于资产评估的收益额是资产的客观收益。一般而言,资产预期收益类型主要包括净利润、净现金流量、利润总额。其中,前两者均属于税后净收益,为资产持有者收益。二者之间的关系为:净现金流量=净利润+折旧-追加投资(包括资本性支出和营运资金追加投资)。因为净现金流量是按照收付实现制确定的,净现金流更适合做预期收益指标,一方面净现金流量能够更准确的反映资产的预期收益。净现金流量包含了计算净利润时扣除的折旧和摊销等非现金性支出,反映了当期企业可自主支配的实际现金净流量。折旧和摊销是会计上对企业已发生资本性支出的回收安排,作为非付现项目归集在企业的成本费用之中,但备齐抵减的收入实际上已经归入企业,并成为企业可以自主支配的现金,将其作为企业预期收益的一部分具有合理性;另一方面,净现金流量体现了资金的时间价值,不仅是对数量的描述,而且与发生的时间密不可分。
预测未来收益的方法业界通用的是时间序列法,因素分析法。其中,时间序列法是建立资产以往收益的时间序列方程(根据历史数据,用回归分析的统计方法获得),然后假定该时间序列将会持续。因此主要适用于资产的收益随着时间的推移,呈现出平稳增长趋势(评估基准日前后均保持这一趋势)。因素分析法则是一种间接预测收益的方法,需要首先确定影响一项资产收入和支出的具体因素,然后建立收益与这些因素之间的数量关系,同时对因素未来可能的变动趋势进行预测,最终估算出基于这些因素的未来收益水平。
二是折现率。折现率是一种期望投资报酬率,是投资者在投资风险一定的情形下,对投资所期望的回报率。折现率由无风险报酬率和风险报酬率组成,其中无风险报酬率又称安全利率,是没有投资限制和障碍,任何投资者都可以投资并能够获得的投资报酬率,在实践中常参考同期政府债券收益率。风险报酬率是对风险投资的一种补偿,在数量上超过无风险报酬率之上的,统筹行业风险、经营风险、财务风险和其他风险基础上的投资回报率。确定折现率的方法主要有加和法、资本成本加权法、市场法等。其中,加和法就是以折现率包含的无风险报酬率和风险报酬率两部分分别求得数值,然后汇总加和,即折现率=无风险报酬率+风险报酬率。其中,无风险报酬率大多使用较长期的政府债券收益率(1年或1年以上)作为基本收益率。在实务中,具体采用的政府债券收益期间,应与评估对象的预期收益期间相匹配。而风险报酬率则要充分考虑市场风险(包括但不限于行业的总体状况、宏观经济状况、资本市场状况、地区经济状况、市场竞争状况、法律法规约束、国家产业政策等);与被评估资产相联系的风险(主要包括但不限于产品或服务的类型、企业规模、财务状况、管理水平、资产状况、收益数量和质量、区位因素等)。资本资产定价模型(capital assetpricing model,即CAPM)是通过β系数来量化折现率中的风险报酬率部分的常用方法。计算公式为:Ri=Rf+β(Rm-Rf)。其中,R代表被评估企业所在行业(或自身)的投资报酬率;Rm代表市场平均收益率;Rf代表无风险报酬率;β代表风险系数。其中Rf所代表的无风险报酬率,没有投资违约风险。这一点通常只有主权国家的政府信用才可以保证;在特定的时间内,完成投资和再投资可以确定,这一数值通常取我国中长期国债的到期收益率平均值。(Rm-Rf)表示市场平均风险报酬率,又称为系统性市场风险。它的本质是进行股权投资预期获得的超过无风险的收益率,也可以用ERP(股权超额风险回报率)来表示。β系数的确定则主要适用于股权被频繁交易的上市公司的评估。对于非上市公司来说,可以参照上市公司中情形相似的公司的β系数来确定自己的β系数,或者先确定公司所在的行业的β系数,计算行业风险报酬率。β系数是通过对单只股票价格变动和到变动的历史数据统计分析得出,是股票与大盘之间联动性的表现,所反映的是某一只股票的股价变动相对于大盘的表现情形,体现其收益变化幅度相对于大盘的变化幅度。绝对值越小,显示其变化幅度相对于大盘而言越小,如果是负值,表明其与大盘呈相反方向变动,体现该股票与投资风险与大盘呈现负相关性。如β系数为1,则说明当大盘整体上涨10%时,该只股票的报酬率上涨10%;反之,则下降10%。如果β系数为1.1,则说明市场整体上涨10%时,该只股票上涨11%;如果β系数为0.8,则市场整体变动10%时,则该只股票同向变动8%。实际中,一般用单只股票资产的历史收益率对同期大盘指数收益率进行回归,回归系数就是β系数。尽管当前实务中多采用单只股票历史数据得出β系数,但作为未来预期收益的折现率计算指标之一,它所反映的应当是未来的变动情形。因此,不应当简单地直接使用历史β系数,而应该在充分分析被评估企业当前及未来发展状况的情形下,对其历史的β系数调整为能够反映未来情形的值,从而更为贴切地反映未来收益风险的变化情形。资本成本加权法是以企业的各种资本在企业全部资本中所占的比重为权数,对各种长期资金的资本成本加权平均计算出来的资本总成本。把资产视作投入资金总额,即构成一个持续经营的所有有形资产和无形资产减去流动负债的净额,那么企业资产可以理解为长期负债与所有者权益之和。也即:
资产=长期负债+所有者权益。折现率=长期负债占资产总额的比重×长期负债利息率×(1-所得税率)+所有者权益占资产总额的比重×投资报酬率。其中,投资报酬率=无风险报酬率+风险报酬率,在企业价值评估中一般使用股权资本报酬率。市场法是通过寻找与被评估资产相类似的资产的市场价格以及该资产的收益来倒求折现率,而不像加和法那样由折现率的各组成部分相加得出。

被评估资产的折现率=(∑样本资产的收益/样本资产价格)/n
其中,样本资产是指与被评估资产在行业、销售类型、收益水平、风险程度、流动性等方面相类似的资产。该方法的选取要是具体评估对象而定。
三是收益期限。是指资产具有获利能力并产生资产净收益的持续时间。通常以年为单位,由评估专业人员根据被评估资产自身效能、资产未来获利能力、资产损耗等情形及相关条件及有关法律、法规、契约、合同等加以确定。具体分为有限期和无限期(永续)。其中,无限期(永续)是如无特殊情形,资产使用比较正常且没有对资产的使用年限进行限定,或者这种限定是可以解除的,并可以通过延续方式永续使用,则可假定收益期为无限期。有限期则是收益期限受到法律、合同等规定的限制,则应以法律或合同规定的年限作为收益期。资产没有规定收益期限的,可按其正常的经济寿命确定收益期,即资产能够给其拥有者带来最大收益的年限。收益增长模型主要包括两阶段增长模型、三阶段增长模型和永续增长模型三种,其中两阶段增长模型中,第一阶段为观测期(3-5年)。其增长率高于第二个阶段的增长率;第二阶段被称为永续增长阶段,增长率为正常稳定的增长率,是对观测期以外时间跨度的年均复合增长率预期。这两个阶段的划分通常以企业预期达到稳定的年份为标准。三阶段增长模型系由Sherman Chattiner等于1965年在《普通股定价—原则、目录和应用》中提出,主要区分如下几个阶段,第一阶段是成长阶段,由于生产新产品并扩大市场份额,公司取得快速的收益增长。第二阶段是过渡阶段,公司的收益开始成熟并且作为整体的经济增长率开始减速,在这一点上,公司处于成熟阶段,公司收入继续以整体经济的速度增长。第三阶段是超常阶段假设红利的增长率为常数。永续增长模型则是将未来收益的增长率假设为一个确定的值,通常被用于较为成熟的公司价值评估。
3、收益法的主要技术方法
收益法实际上是在预期收益还原思路下若干具体方法的集合。收益法中的具体方法可以分为若干类,一是针对评估对象未来预期收益有无限期的情形划分,二是针对评估对象预期收益的情形划分,可分为等额收益评估方法、非等额收益评估方法等。

上述公式在净收益不变、净收益在若干年后保持不变、净收益按等差级数变化、净收益按等比级数变化等不同情形中,会发生不同变形:
(1)当净收益不变时,如下图所示:

当收益永续,各因素不变时,其计算公式为:P=A/r
其成立条件是:净收益每年不变;资本化率固定且大于零;收益年期无限。
如被评估资产为一未公开的食品配方。预计在未来无限年期其所产生的年收益为100万元,资本化率为10%。则该食品配方的价值P=A/r=100/10%=1000(万元)
当收益年期有限,折现率等于零时,其计算公式为:P=A×n
其成立条件是:净收益每年不变;收益年期有限为n;折现率为零。
当收益年期有限,折现率大于零时,其计算公式为:

如被评估资产为某一服装品牌的特许经营权。根据许可方与被许可方所签订的合同,在评估基准日,该品牌的尚可使用年限为5年。根据以往的经营数据和市场对该品牌的认可程度,预计其未来年收益将会维持在200万元。折现率假定为15%,则该品牌的特许经营权价值为:

(2)当净收益在若干年后保持不变,又可细分为无限年期收益和有限年期收益。其中
如果是无限年期收益,则

其成立要满足四个条件,一是净收益在n年(含第n年)以前有变化;二是净收益在n年(不含第n年)以后保持不变;三是收益年期无限;四是r大于零。
如某宗房地产预计未来5年净收益为20万元、24万元、25万元、28万元、32万元。从第六年到未来无限期,每年净收益为40万元,资本化率为10%。求房地产价格。如果收益年限为50年,再求房地产价格,具体计算过程如下:

如果是有限年限收益,则

其成立应满足的条件是净收益在t年(含第t年)以前有变化;净收益在t年(不含第t年)以后保持不变;收益年期有限为n;r大于零。
(3)净收益按等差级数变化
一是在净收益按等差级数递增,收益年期无限的条件下:

其成立条件:净收益按等差级数递增;净收益逐年递增额为B;收益年期无限;r大于零。如某宗房地产预计未来第一年的净收益为9万元,此后每年的净收益会在上一年的基础上增加2万元,收益年限可视为无限年,利率为9%。求房地产价格。

二是在净收益按等差级数递增,收益年期有限的条件下:

其成立条件要求:净收益按等差级数递增;净收益逐年递增额为B;收益年期有限为n;r大于零。
三是在净收益按等差级数递减,收益年期无限的条件下:

其成立条件:净收益按等差级数递减;净收益逐年递减额为B;收益年期无限;r大于零;收益递减到零为止。但在实操层面,资产产权主体会根据替代原则,在资产收益递减为零之前停止使用该资产或变现资产,不会无限制地永续使用下去。
四是在净收益按等差级数递减,收益年期有限的条件下,其计算公式如下:

其成立条件:净收益按等差级数递减;净收益逐年递减额为B;收益年期有限为n;r大于零。如,根据被评估企业的章程,其于评估基准日的剩余经营年期为10年,且实际控制方也没有继续经营的意愿。若该企业未来10年的年净利润将保持每年10万元的减少额,且当前的年收益为1000万元。假定折现率为10%,该企业的股东全部权益为:

(4)净收益按等比级数变化
一是在净收益按等比级数递增,收益年期无限的条件下:

其成立条件:净收益按等比级数递增;净收益逐年递增比率为s;收益年期无限;r大于零且r>s>0。如某房地产预计未来第一年的净收益为130万元,此后每年的净收益会在上一年的基础上增长3%,收益年限无限年,资本化率10%。则其收购价格为:

二是在净收益按等比级数递增,收益年期有限的条件下:

其成立条件:净收益按等比级数递增;净收益逐年递增比率为s;收益年期有限;r大于零且r>s>0。如,某房地产预计未来第一年净收益为120万,此后在使用50年内每年净收益在上一年基础上增长3%,资本化率10%,则其收益价格为:

三是在净收益按等比级数递减,收益年期无限的条件下:

其成立条件:净收益按等比级数递减;净收益逐年递减比率为S;收益年期无限;r大于零且r>s>0。
四是在净收益按等比级数递减,收益年期有限的条件下:

其成立条件:净收益按等比级数递减;净收益逐年递减比率为s;收益年期有限为n;r大于零且0<s≤1。
五是已知未来若干年后资产价格的条件下:

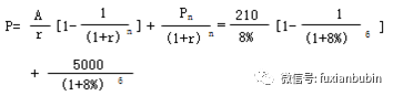
其成立条件:净收益在第n年(含n年)前保持不变;预知第n年的价格为Pn;r大于零。如,某宗房地产现行价格3000元/m2,年净收益为210元/m2, 利率8%。该地区将兴建学校,将在6年后建成投入使用,该城市同类房产价格5000元/m2 。据此,学校区域的房产价格达到5000元/m2。则学校建成后房地产价格为:

(三)收益法的适用范围和局限性
收益法评估的适用范围上,需结合资产的类型进行区分。其中,单项资产上主要适用于无形资产(专利或专有技术、商标、著作权、客户关系、特许经营权等);房地产(既有收益性的房产类别,比如商铺、酒店、写字楼等);机器设备(可出租的机器设备或刻度产生现金流的生产线、成套设备);其他资产(例如非上市交易的股票、债券、长期应收款、长期股权投资、投资性房地产等)。在整体资产评估中的应用通常是对企业价值进行评估。因为企业经营的本质是获得收益,收益法与其他评估方法相比更能体现企业存在和运营的本质特征。通常情形下,在评估过程中需要依据收益的不同口径,选择不同的收益法:

常见的方法有股利折现模型、现金流折现模型、经济利润模型,具体对应如下图:

整体而言,收益法通常占据极为重要的地位,与传统生产线企业相比,轻资产企业所拥有的固定资产、有形资产较少,其获利来源主要体现在企业财报中大量的无形资产之中,因此,如果采用成本法对其进行评估,则其作为盈利主体而具有的价值可能无法全面体现出来,企业价值或被严重低估,在此状况下,收益法更为合理。可以明确的是,收益法较适宜于那些形成资产的成本费用与其获利能力不对称,成本费用无法或难以准确计算,存在无形资源性资产以及具有收益能力的资产,例如企业价值、无形资产、资源性资产等的价值评估。
收益法评估的局限性也显而易见,一是对于没有收益或收益无法用货币计量以及风险报酬率无法计算的资产,该方法将无法使用。二是收益法的操作含有较大成分的主观性,从而使评估结果较难把握。三是收益法的运用也需要一定的市场条件,否则一些数据的选取就会存在困难。
注:文章为作者独立观点,不代表资产界立场。
题图来自 Pexels,基于 CC0 协议
本文由“负险不彬”投稿资产界,并经资产界编辑发布。版权归原作者所有,未经授权,请勿转载,谢谢!

负险不彬 











